Skip to content

राजस्व संकलन ११.३३ प्रतिशतले बढ्यो, कुन शीर्षकमा कति ?

nabil bank

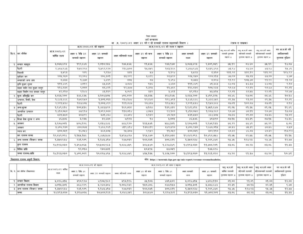
काठमाडौं । गत आर्थिक वर्ष २०८१/८२ मा ११ खर्ब ७८ अर्ब ८२ करोड रुपैयाँ राजस्व संकलन भएको छ ।

अर्थ मन्त्रालयका अनुसार आर्थिक वर्ष २०८०/८१ को भन्दा गत आवमा १ खर्ब २० अर्ब रुपैयाँ बढी राजस्व संकलन भएको छ । प्रतिशतका आधारमा हेर्दा अघिल्लो आवको तुलनामा गत आवमा राजस्व संकलन ११.३३ प्रतिशतले धेरै हो ।

आर्थिक वर्ष २०८०/८१ मा १० खर्ब ५८ अर्ब रुपैयाँ राजस्व संकलन भएको अर्थ मन्त्रालयले जनाएको छ । आर्थिक वर्ष २०८१/८२ मा १४ खर्ब १९ अर्ब राजस्व संकलन गर्ने लक्ष्य थियो । तर मन्त्रायले अर्धबार्षिक समीक्षामा संशोधन गरी १२ खर्ब ८६ अर्बको लक्ष्य राखेको थियो । संशोधित लक्ष्य अनुसार ९१.६० प्रतिशत राजस्व संकलन भएको छ ।

मन्त्रालयका राजस्व महाशाखा प्रमुख उत्तरकुमार खत्रीका अनुसार विपद, अन्तर्राष्ट्रिय परिस्थितिले सृजित चुनौतीका बाबजुत अघिल्लो आर्थिक वर्षको तुलनामा राजस्व संकलन उत्साहजनक देखिएको छ । ‘तयारी सुरु गरिसकेका छौं’ उनले भने ‘चालू आर्थिक वर्षमा राजस्व संकलनको लक्ष्य पूरा गर्ने गरी अघि बढ्नेछौं ।’

चालू आर्थिक वर्षमा १३ खर्ब १५‍ अर्ब राजस्व संकलनको लक्ष्य छ । आर्थिक वर्ष २०७१/७२ मा ४ खर्ब ५ अर्ब, २०७२/७३ मा ४ खर्ब ८१ अर्ब, २०७३/७४ मा ६ खर्ब ९ अर्ब, २०७४/७५ मा ७ खर्ब २६ अर्ब, २०७५/७६ मा ८ खर्ब २९ अर्ब राजस्व संकलन भएको थियो ।

त्यसैगरी २०७६/७७ मा ७ खर्ब ९३ अर्ब, २०७७/७८ मा ९ खर्ब ३५ अर्ब, २०७८/७९ मा १० खर्ब ६६ अर्ब, २०७९/८० मा ९ खर्ब ५७ अर्ब र २०८०/८१ मा १० खर्ब ५८ अर्ब रुपैयाँ संकलन भएको थियो ।

Prabhu
sikhar insurance

प्रतिक्रिया दिनुहोस्

global ime
national life
http://sanimareliancelife.com/
MAK 4T
Arghakhachi